사용자 요구 사항과 가이드 라인을 따라
생산장비, 실험장비, 유틸리티, 저장시설 등의
적격성평가(IQ,OQ,PQ), CSV 서비스를 제공
사용자 요구 사항과 가이드 라인을 따라
생산장비, 실험장비, 유틸리티, 저장시설 등의
적격성평가(IQ,OQ,PQ), CSV 서비스를 제공

Autoclave(고압증기멸균기) **적격성 평가(Equipment Qualification)**는 장비가 설계 의도와 사용자 요구사항에 맞게 설치되고(IQ), 지정된 운전 범위에서 정상적으로 동작하며(OQ), 실제 사용 조건에서도 온도를 일관되게 유지하는지(PQ)를 문서화된 절차와 기준으로 확인·기록하는 활동입니다.
전압, 주파수, 치수 측정
목적: 정해진 운전 범위에서 장비가 의도대로 동작하는지 확인
시험 항목
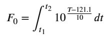
빈 상태 온도 분포 시험

적재 상태 온도 분포 시험
BIOLOGICAL INDICATOR 미생물 챌린지 시험
빈 상태 온도 분포 시험 그래프
적재 상태 온도 분포 시험 그래프